loose leaf books of accounts sample
Follow this guide so you can say goodbye. A Permt to Use Loose Leaf Books of Accounts.
Loose Leaf Version For Human Biology Loose Leaf Sandman Books
Keep and store the.
. A Permt to Use Loose Leaf Books of Accounts. In lieu of the investigation pursuant to RMC No. SWORN STATEMENT for Application for PTU of Loose Leaf Books of Accounts I Juan Dela Cruz of legal age currently residing at 3049 Kalikasan St Barangay San Isidro Makati City.
31 2022 Updated 129 pm. To register for loose leaf bookkeeping you need to prepare the following three documents. Properly Safe Keep the Loose Leaf Books.
Application Requirements Deadline and Renewal. Sample format and print-out of the books of. Switching to loose-leaf books of accounts.
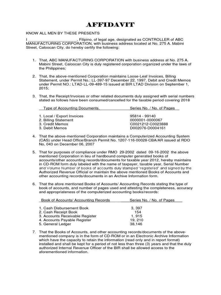
Sample format and print-out to be used books of accounts. Application for PTU loose-leaf books of account is processed within the Revenue District Office RDO via regional directors jurisdiction through its legal division according to RMC No. 13-82 a sworn statement specifying.
Write a letter of intent addressed to the BIR stating your intentions of using a loose-leaf book of account and the reason why. In this article youll find everything about Sworn Statement or Sinumpaang Salaysay including sample templates you can download for free. In lieu of the investigation pursuant to RMC No.
Application Requirements Deadline and Renewal Switching to loose-leaf books of accounts. Loose-leaf Books of Accounts are one of three BIR-approved systems for maintaining your companys books. Sample Formats of Journals and Ledgers for loose-leaf books of.
Duly accomplished BIR Form No 1900. For Application for Authority to Use Loose-leaf Books of Accounts and or Accounting Records manual application only 1. Fill out the Application for Authority to Use.
An Ultimate Guide to Loose Leaf Books of Accounts. ALL persons engaged in trade or business or in the practice of profession registered with the. The following are the requirements 2 you need to be issued a permit to use loose-leaf books of accounts by the BIR.
Continue Reading link to An Ultimate Guide to. An Ultimate Guide to Loose Leaf Books of Accounts. In this example since January 15 2022 is Saturday the deadline is moved to the next working day which is January 17 2022.
1 the books to be used invoicesreceipts and other accounting records together. 13-82 a Sworn Statement specifying the following. Identifying the type of books.
Updating of PTU will be required for subsequent. Journal Book is a monthly report summary which includes reference number date entry subsidiary account number account code and record transaction as eithe. Follow this guide so you can say goodbye.
What exactly are Loose-leaf Books of Accounts. It is a type of mid. REGISTRATION OF MANUAL LOOSE-LEAF BOOKS OF ACCOUNTS.
The PTU loose-leaf books issued to the taxpayers head office HO will cover all registered branches at the time of issuance. B Permanently bound Loose Leaf Books of Accounts. Sample Format and sample print out.
This is a huge plus for loose-leaf books over manual books since it is generally faster to print out transactions generated by the accounting system versus writing each.
Bureau Of Internal Revenue Philippines Revenue Memorandum Circular No 68 2017 Clarifies The Processing Of Applications For Permit To Use Loose Leaf Books Of Accounts Invoices Receipts And Other Accounting Records For Full Text Http Ow Ly Mrjn30edz2n
Loose Leaf Books Of Accounts Annual Submission
Permit To Use Loose Leaf Books Of Accounts Relia Books 6 18 2019 Permit To Use Loose Leaf Books Studocu
2 In 1 Driver S Daily Log Loose Leaf Format W Detailed Dvir 2 Ply Carbonless W Recap Stock
The Joint Use Of Electronic Nose And Electronic Tongue For The Evaluation Of The Sensorial Properties Of Green And Black Tea Infusions As Related To Their Chemical Composition
Social Work Reference Center Canadian Association Of Social Workers
Mommy Ginger Page 16 Of 197 Let S Talk About Business Beauty And Babies
Free Bookkeeping Forms And Accounting Templates Printable Pdf
Sworn Statement Pdf Invoice Service Industries
180 Loose Leaf Paper Stock Photos Pictures Royalty Free Images Istock
Loose Leaf For Introduction To Managerial Accounting Brewer Peter Garrison Ray Noreen Eric 9781259300158 Amazon Com Books
Loose Leaf Biology The Essentials With Connect Access Card By Hoefnagels Marielle Good Loose Leaf 2012 V Books
What Is A Loose Leaf Textbook Pros And Cons Of A Loose Leaf Edition




